fermer
Développement

Une étude suggère que le code des femmes est préféré, que si leur sexe est inconnu

sur github les femmes codent mieux mais il y a du sexisme 1

Pour justifier l’absence remarquée des femmes dans le secteur de la technologie, l’explication la plus communément offerte a toujours été le manque de compétences : les femmes sont moins intéressées par la technologie, et ne poursuivent pas leurs études dans ce domaine. Autrement dit, pour ce qui est des offres d’emploi, il y a moins de femmes qualifiées sur le marché.

Comment les équipes d’ingénierie ne pas peuvent être majoritairement masculines ? Eh bien, une nouvelle étude publiée par PeerJ va encore plus loin dans cet argument, poussant un fait accablant. Selon cette étude, les femmes écrivent mieux du code source que les hommes sur GitHub, où du moins leurs contributions sont plus souvent acceptées par les autres développeurs. Mais, cela est vrai que si leur sexe est inconnu. Une fois que l’on sait qu’une femme est derrière cette syntaxe, les choses sont différentes.

L’étude a impliqué l’analyse de près de 1,4 million d’utilisateurs étant sur la plateforme open source Github, une référence mentionnée dans les entretiens d’embauche chez les informaticiens. Si la plateforme qui rassemble près de 12 millions de personnes ne nécessite pas que ses utilisateurs fournissent des informations sur leur sexe, les chercheurs ont été en mesure de déterminer le sexe d’environ 1,4 million d’entre eux (environ 12 %), rapporte la BBC, « soit parce qu’il était noté dans les profils des utilisateurs, ou parce que leurs adresses e-mail peuvent être jumelées avec le réseau social Google+ ».

Une étude suggère que le code des femmes est préféré, que si leur sexe est inconnu

Des preuves de sexisme

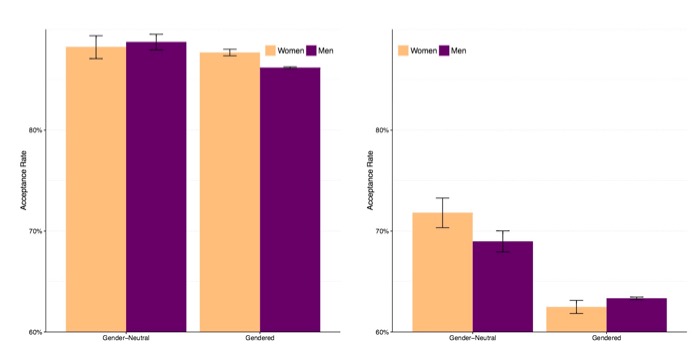
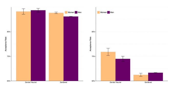
Si l’on en croit ses informations, l’équipe a déterminé que les pull requests (des suggestions de changement de code) réalisées par les femmes ont été acceptées 4 % plus souvent que celles qui sont faites par les hommes. Toutefois, cette proportion a radicalement chuté lorsque le sexe d’une femme était perceptible. Les chercheurs notent que « nous voyons des preuves de sexisme : les taux d’acceptation des femmes sont de 71,8 % quand ils utilisent des profils non sexistes, mais baisse à 62,5 % lorsque leur sexe est identifiable. Il y a une baisse similaire pour les hommes, mais l’effet n’est pas aussi fort ».

« Les femmes ont dans l’ensemble un taux d’acceptation plus élevé lors d’une pull request, mais quand elles sont étrangères et que leur sexe est identifiable, ils ont un taux d’acceptation plus faible que les hommes”, peut-on lire. « Nos résultats suggèrent que bien que les femmes sur Github peuvent être plus compétentes, les préjugés contre elles existent ».

Il faudrait plus de femmes dans le domaine IT

Considérant que les grandes entreprises de haute technologie telles que Facebook, Google et Apple ont toutes moins de 20 % de leurs postes techniques occupés par des femmes, ceci est un constat alarmant.

Espérons qu’un jour les femmes seront reconnues à leur juste valeur !

Tags : GitHub
Yohann Poiron

The author Yohann Poiron

J’ai fondé le BlogNT en 2010. Autodidacte en matière de développement de sites en PHP, j’ai toujours poussé ma curiosité sur les sujets et les actualités du Web. Je suis actuellement engagé en tant qu’architecte interopérabilité.